+7 (351) 215-23-09


Влияние материала контактов на отключающую способность вакуумных дугогасительных камер

Наполнение сайта товарами, услугами, новостями и статьями

Данилов М.Е.

В последнее время наметилась тенденция к использованию в качестве контактных материалов композиций из различных металлов. Это связано с тем, что требования к контактным материалам настолько противоположны, что не удается найти однородный металл, пригодный для контактов вакуумных дугогасительных камер [Л. 1]. Для целенаправленного поиска необходимых компонентов нужно знать механизм влияния материала контактов на развитие процессов в вакуумном выключателе.

В настоящее время существует два объяснения предела отключающей способности выключателя. В [Л. 2] предел отключающей способности связывают с образованием на «старом» аноде перегретых участков, которые являются центрами эмиссии пара. В качестве количественной оценки для расчета отключаемого тока в данном случае предлагается рассчитать температуру поверхности анода в зависимости от тока; определить температуру, при которой давление насыщающих паров соответствует минимуму кривой Пашена, и считать соответствующий ток предельным током отключения. При таком подходе выпадают из рассмотрения процессы, связанные с распадом плазмы в промежутке.

В [Л. 3 и 4] исследовалась скорость восстановления электрической прочности вакуумных промежутков для медных и серебряных электродов. Показано, что скорость восстановления электрической прочности зависит от начальной концентрации плазмы в промежутке и геометрии промежутка. Процесс восстановления электрической прочности оканчивается при снижении концентрации частиц в промежутке до уровня, при котором длина свободного пробега атомов пара становится больше длины промежутка.

В [Л. 5] с помощью экспериментально определенной электрической прочности промежутка с медными и серебряными электродами после многократных разрядов, а также времени разлета частиц распадающейся плазмы определяется средняя скорость восстановления электрической прочности. Здесь использована известная [Л. 6 и 7] связь начальной концентрации частиц плазмы с крутизной подхода тока к нулю и получено выражение для величины отключаемого синусоидального тока. Для этого средняя скорость восстановления электрической прочности приравнивалась к скорости восстановления напряжения на промежутке. При таком подходе остается неясным влияние нагрева «старого» анода на отключающую способность вакуумных выключателей.

Ниже экспериментально оценивается влияние нагрева «старого» анода во время горения дуги по сравнению с влиянием остаточной плазмы и приведена методика оценки развития процессов в вакуумном дугогасительном промежутке после перехода тока через нуль. Для этого проводились эксперименты по измерению восстанавливающегося сопротивления вакуумного промежутка после прохождения тока специальной формы (рис 1 и проведен анализ условий возникновения повторного зажигания в процессе восстановления напряжения на вакуумном промежутке.

Методика эксперимента. Оценить относительную роль проводимости, создаваемой за счет эмиссии пара и электронов с поверхности анода, и проводимости остаточной плазмы можно, используя резко различные постоянные времени этих процессов и различные источники их возникновения. Известно [Л. 7], что начальная концентрация остаточной плазмы определяется соотношением времени жизни частиц в объеме дуги и крутизной подхода тока к нулю, а убыль концентрации определяется постоянной времени разлета частиц из объема дуги (т=10-50 мксек). Эмиссия пара и электронов с поверхности анода зависит от температуры анода, т.е. от амплитуды и длительности тока разряда.

Рис. 1. Осциллограмма разрядного тока и восстанавливающегося напряжения на промежутке с вольфрамовыми электродами.

Постоянная времени спада температуры поверхности анода значительно больше, чем постоянная времени разлета плазмы, и составляет величину в несколько сотен микросекунд. Поэтому эксперименты состояли в измерении восстанавливающегося сопротивления вакуумного промежутка после прохождения тока различной амплитуды и длительности при постоянной скорости подхода тока к нулю. При этом время среза тока выбиралось заведомо большим, чем время разлета плазмы. Это позволило получить при различных разрядных токах одинаковую начальную концентрацию остаточной плазмы и проследить изменение процесса восстановления сопротивления при увеличении разрядного тока до появления разряда в промежутке. Принципиальная схема эксперимента приведена на рис. 2.

Для получения токов (/ <8 ка) использовался апериодический разряд емкости (С] =0,1-0,15 ф) через индуктивность L. В некоторый момент времени производился встречный разряд емкости С2 = 10000 мкф, ток в цепи быстро снижался до нуля и одновременно исследуемая камера отключалась вспомогательным вакуумным выключателем от силовой цепи. Одновременно на исследуемый промежуток подавался слаботочный (/hjm<0,5 а) импульс высокого напряжения, величина которого делилась в соответствии со значениями сопротивления Rq и сопротивления вакуумного промежутка. Значение напряжения на промежутке U(t) определялось по осциллограмме. По известному напряжению источника Uq и токоограничивающему сопротивлению Ro рассчитывалось сопротивление промежутка R :

Рис. 2. Схема эксперимента.

(1)

В экспериментах сопротивление Rq изменялось от 1 до 250 ком при фиксированных значениях U0= 300 и 6 000 в. Экспериментальные контакты помещались в разборную вакуумную камеру, в которой обеспечивался вакуум 10-5—3 * 10-6 торр. Откачка производилась паромасляным насосом с азотной ловушкой. Перед экспериментами производился отжиг камеры до 380 °С в течение 5-6 ч с последующей тренировкой электродов сильноточным разрядом (2-5 ка). Тренировка разрядами проводилась до тех пор, пока повышение давления в камере за время разряда не превышало (2—5)-10-5 торр с последующим быстрым восстановлением до (3—5)* 10-6 торр.

Результаты экспериментов. Восстанавливающееся сопротивление промежутка определялось для различных по теплофизическим свойствам металлов: вольфрама, меди, железа и композиционного материала типа «железо-медь». Эксперименты показали, что существует резкое различие зависимости остаточного сопротивления для металлов, имеющих средние значения температуры кипения (Си, Fe), и металлов, имеющих высокие значения температуры кипения (W).

Для вольфрама восстанавливающееся сопротивление имеет явную зависимость от тока разряда и его длительности (рис. 3), причем с увеличением тока остаточное сопротивление уменьшается, а время существования остаточной проводимости достигает нескольких миллисекунд. Процесс восстановления сопротивления промежутка с вольфрамовыми электродами для различных токов имеет различные постоянные времени. Для разрядных токов /т<1,5 ка время восстановления прочности составляет 10-15 мксек. При токах 1,5 ка</т<2,5 ка на осциллограммах отмечается как бы две постоянные времени - в начале процесса т~10 мксек, а при достижении некоторого уровня сопротивления, зависящего от разрядного тока, постоянная времени увеличивается до п-10'3 сек (рис. 1). При токах разряда/т>2,5 ка начальный быстрый рост восстанавливающегося сопротивления исчезает и остается только медленный процесс. Это свидетельствует о том, что остаточное сопротивление определяется температурой поверхности контактов и, возможно, связано с термоэмиссией электронов со старого анода.

Для контактов, выполненных из железа, меди и композиционного материала «железо-медь», характерно, что восстановление сопротивления не зависит от амплитуды и длительности разряда при изменении их в пределах

ка<1 <8 ка и 3 мсек</ <8 мсек. Процесс восстановления сопротивления оканчивается за 50-60 мксек (рис. 4). При измерительном напряжении U = 6 кв и токах разряда I >2,5 ка для железа и I >6 ка для меди на осциллограммах напряжения наблюдаются участки резкого падения напряжения. Форма осциллограммы напряжения в этом случае характеризуется начальным пиком напряжения и длительностью провала напряжения. Величина начального пика напряжения с увеличением тока разряда уменьшается с 6 до 2 кв. Длительность участка с малым сопротивлением увеличивается с 5 до 50 мксек.

Рис. 3. Зависимость сопротивления промежутка с вольфрамовыми электродами от разрядного тока.

При измерениях с источником напряжения Uc=300 в подобных спадов напряжения на промежутке не наблюдалось. Это означает, что спады напряжения вызываются вторичными процессами, зависящими от напряжения, например, с увеличением коэффициента выхода электронов при бомбардировке поверхности металлов ионами с энергией в несколько килоэлектронвольт и ионизационным усилением в промежутке. В моменты спада напряжения в промежутке, по-видимому, существует некоторая форма тлеющего разряда, который горит в парах разлетающейся плазмы при нагретом катоде. Температура катода определяется нагревом «старого» анода, и поэтому с увеличением величины тока разряда увеличивается длительность и уменьшается «пик зажигания» разряда.

Итак, эксперименты показали, что для вольфрамовых контактов остаточное сопротивление определяется температурой контактов. Для контактов, выполненных из меди, железа, композиции «железо-медь», остаточное сопротивление не зависит от температуры контактов и определяется разлетом плазмы из промежутка. Зажигание разряда при этом определяется некоторым сочетанием величин напряжения, концентрации частиц и температуры электродов в момент перехода тока через нуль.

Развитие процессов в вакуумной дугогасительной камере после перехода тока через нуль. Для определения критического сочетания вели-

чин восстанавливающегося напряжения, концентрации частиц и температуры «старого» анода предположим следующую модель развития процессов в последуговой плазме.

  1. Дуга предшествующего разряда занимает некоторый объем промежутка и нагревает анод до некоторой температуры к моменту перехода тока через нуль.
  2. В объеме дуги в момент перехода тока через нуль существует определенная начальная концентрация атомов и ионов.
  3. Восстанавливающееся напряжение в промежутке с плазмой прикладывается к прикатодной области и вызывает ускорение ионов в направлении катода.
  4. Ускоренные ионы выделяют на катоде энергию и в соответствии с механизмом ионно-электронной эмиссии выбивают некоторое количество электронов.
  5. Термоэлектроны и электроны, выбитые ионами, ускоряются электрическим полем и производят ионизацию в объеме промежутка.

Расчет концентрации пара остаточной плазмы можно провести по эрозии электродов т и времени жизни частиц в объеме дуги т согласно [Л. 7].

(2)

Этот ионный ток существует независимо от напряжения на промежутке.

Согласно [Л. 8] степень ионизации продуктов эрозии вакуумных дуг составляет 50-75%. Такая же степень ионизации определена и в [Л. 9]. Поэтому для расчетов можно принять, что весь пар в промежутке ионизован. В этом случае плотность ионного тока разлета на поверхности анода определим по [Л. 10]:

Рнс. 4. Осциллограмма подхода тока к нулю и восстанавливающегося напряжения на промежутке с медными электродами.

При приложении напряжения появится ионный ток от проникновения поля в плазму и ионная составляющая тока ионизационного усиления в промежутке. Величина этих токов зависит от распределения поля в промежутке. Оценочный расчет области объемного заряда показывает, что во время разлета плазмы длина области объемного заряда достигает 10~2 см. Причем скорость движения границы объемного заряда меньше 103 см/сек. При таких условиях ионный ток от распространения поля в плазму мал по сравнению с ионным током разлета и его можно не учитывать.

Величина тока ионизационного усиления зависит от количества ионизации в объеме. Из расчета толщины объемного заряда следует, что только

в тонком прикатодном слое промежутка существует электрическое поле, способное ускорить электроны. Следовательно, ионизация в объеме возможна только за счет электронов, появившихся на катоде в соответствии с механизмом термоэмиссии или в результате ионно-электронной эмиссии.

Оценки концентрации частиц в промежутке [Л. 3] и расчеты по [Л. 7] дают nао~10+16 1/см3. Сечение ионизации при энергии электрона, соответствующей восстанавливающемуся напряжению в несколько киловольт, о =10+16-10+17 см2.

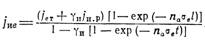
Это означает, что электроны на всей длине промежутка (/=1-2 см) имеют некоторую вероятность ионизующего столкновения. За счет этих ионизаций в распадающейся плазме может несколько увеличиться концентрация ионов. Вновь образовавшиеся ионы, по всей вероятности, обладают тепловыми скоростями, т.е. они ничем не отличаются от ионов остаточной плазмы и по мере попадания на границу объемного заряда будут также ускоряться в направлении катода. В этом случае ионный ток ионизации усиления /ис можно записать в виде:

, (3)

где уи - коэффициент ионно-электронной эмиссии. Согласно [Л. 11] значение уи практически линейно растет с увеличением энергии до нескольких десятков килоэлектрон-вольт. Коэффициент пропорциональности у различных авторов для одних и тех же металлов отличается почти в 3 раза. Для нас важна зависимость уи от напряжения, которое изменяется от десятков вольт до десятков киловольт, т.е. в 1 000 раз. Поэтому принимаем в среднем уи=10-4*U, т.е. пренебрегаем зависимостью у от материала.

Выражения (2) и (3) описывают зависимость ионного тока от времени. Причем ионный ток разлета остаточной плазмы является убывающей функцией во времени. Ионный ток ионизационного усиления появляется при наличии восстанавливающегося напряжения и в зависимости от сочетания напряжения, концентрации остаточной плазмы и температуры поверхности катода может либо увеличиваться, либо уменьшаться. Очевидно, что характер изменения тока ионизационного усиления определяет характер изменения проводимости вакуумного промежутка после перехода тока через нуль. Рассмотрим причины возможного роста тока ионизационного усиления.

Первая причина роста уие связана с ростом напряжения, т.е. уис увеличивается несколько быстрее, чем убывает вероятность ионизирующего столкновения в распадающейся плазме. В этом случае доминирующую роль играет восстанавливающееся напряжение (амплитуда и частота), а не свойства материала контактов, поэтому его можно не рассматривать.

Вторая причина роста уие связана с повышением температуры поверхности до значения, при котором концентрация насыщенного пара становится выше концентрации остаточной плазмы. В этом случае любое увеличение температуры поверхности ведет к увеличению концентрации частиц в промежутке, увеличению вероятности ионизации и увеличению тока ионизационного усиления. Это приводит к дополнительному росту температуры и т. д. Наконец, при у[1-ехр(-/70х)]=1 ток ионизационного усиления формально стремится к бесконечности, что соответствует повторному зажиганию дуги. Отметим, что концентрация насыщающих паров

увеличивается при увеличении температуры поверхности по экспоненте, т.е. характер роста тока ионизационного усиления будет лавинообразным.

Третья причина роста уие связана с быстро возрастающей зависимостью тока термоэмиссии от температуры поверхности катода. При увеличении температуры поверхности тугоплавких электродов (W) наблюдается резкий рост тока термоэмиссии, который даже в парах распадающейся плазмы может вызвать существенное увеличение величины тока ионизационного усиления. Это вызывает увеличение теплового потока, более быстрый рост температуры и лавинообразный рост проводимости промежутка.

Следовательно, для любого контактного материала существует некоторая критическая температура поверхности катода, зависящая от напряжения, при превышении которой нагрев ионными токами приводит к повторному зажиганию дуги.

Критическую температуру можно найти, приняв за начало лавинообразного роста тока ионизационного усиления условие / =/ . В этом случае нагревающий поток от тока ионизационного усиления становится равным нагревающему потоку от тока разлета ионов и при дальнейшем повышении температуры будет определять величину нагревающего потока.

Результаты расчета критических температур для меди, железа и вольфрама при

приведены в таблице.

Итак, из условия начала лавинообразного роста плотности ионного тока ионизационного усиления мы получили предел температуры катода, превышение которого приводит к росту проводимости промежутка и повторному зажиганию разряда. Следовательно, в момент погасания дуги «старый» анод должен иметь температуру несколько ниже рассчитанной критической.

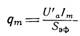
Температура «старого» анода при воздействии полуволны синусоидального потока тепла с амплитудой qn описывается соотношением [Л. 12]:

(4)

Здесь X, с, у - соответственно удельные теплопроводность, теплоемкость и плотность металла; со - частота отключаемого тока; С и S - интеграл Френеля:

В момент перехода тока через нуль температура поверхности определяется выражением:

(5)

Амплитуду теплового потока, нагревающего анод, можно рассчитывать без учета затрат тепла на испарение, так как температура анода не должна превышать критической, которая находится значительно ниже температуры интенсивного испарения. В этом случае имеем:

(6)

где If - эквивалентное прианодное падение напряжения (в наших расчетах принималось по [Л. 13]); 5?ф - эффективное сечение нагревающего потока тепла.

В процессе разлета плазмы и восстановления напряжения на промежутке наблюдается нагрев поверхности «нового» катода ускоренными ионами. В условиях разреженной, распадающейся плазмы энергия ускоренных ионов будет соответствовать восстанавливающемуся напряжению U, и тогда получим:

(V)

где со, - частота восстанавливающегося напряжения.

По (2) —(7) было проанализировано развитие процессов в последуговой плазме для вакуумного промежутка длиной /= 1 см и эффективным сечением дуги 5эф= 1 см2. При этом предполагалось, что дуга горела половину периода промышленной частоты / = 50 гц и восстанавливающееся

Рис. 5. Изменение параметров промежутка с медными электродами при отключаемом токе Гд = 5000 а/см2 (— —) и Г = 6000 а/см2 (-------------------------- ).

напряжение имеет амплитуду {/=10 кв (действующее значение), частоту /=10 кгц. Некоторые зависимости показаны на рис. 5 и 6 для режимов отключения выше и ниже предельного тока отключения, приходящегося на 1 см2 дуги (/^). Из рисунков ясно видно, что для меди нагрев поверхности катода приводит к росту концентрации частиц и увеличению тока ионизационного усиления, температуры и т.д. Для вольфрама увеличение проводимости связано с резким ростом тока термоэмиссии и увеличением тока ионизационного усиления даже при уменьшении общей концентрации частиц. Увеличение ионного тока вызывает увеличение тока термоэмиссии и, в конце концов, концентрации частиц в промежутке.

Следует отметить, что тепловой поток на катод во время восстановления напряжения вначале быстро возрастает до некоторого значения, а затем либо медленно спадает, либо лавинообразно увеличивается. Лавинообразный рост связан с увеличением тока ионизационного усиления при увеличении температуры катода выше критической. Поэтому можно считать, что в режиме, близком к предельному (рис. 5 и 6), дополнительный нагрев катода вызывается ионным током разлета и нагревающий поток по форме близок к прямоугольному. В данном случае амплитуда теплового потока определяется выражением:

Здесь момент достижения максимума теплового потока tx находится из соотношения:

Используя очевидное соотношение Григ- + ЛГ, из соотношений (5) и (11) можно записать:

Рис. 6. Изменение параметров промежутка с вольфрамовыми электродами при отключенном токе Гл = 5000 а/см2 (— • —) и ЛГ = 5500 а/см2 (---------------------- ).

(9)

где- время жизни ионов в

объеме дуги.

Для наших расчетных условий величину теплового потока удается представить в виде:

(10)

В (10) /^ - действующее значение тока на 1 см2 дуги. Значения коэффициента \|/ приведены в таблице.

Используя известное соотношение для температуры поверхности при воздействии прямоугольного импульса, можно получить повышение температуры катода к моменту достижения максимума восстанавливающегося напряжения:

(11)

Из (12) следует, что ток отключения пропорционален произведению Гривсу. Слагаемые левой части (12) отражают нагрев контакта во время горения дуги (первое слагаемое) и распада плазмы. Отметим, что для неподвижной дуги на 90% температуры Т контакт нагревается во время горения дуги. Это объясняет факт увеличения отключаемого тока при перемещении дуги по поверхности контактов. Однако по мере увеличения скорости дуги начнет увеличиваться роль второго слагаемого, и предельный отключаемый ток, приходящийся на 1 см2, при перемещающейся дуге не может быть увеличен больше, чем в 10 раз. Результаты расчета отключаемого тока на 1 см2 дуги при восстанавливающемся напряжении

приведены в таблице. Расчет для тугоплавкого металла проводился численным методом из-за существенной нелинейности коэффициента \|/.

В заключение отметим, что расчетные значения отключаемых токов близки к практически отключаемым при неподвижных дугах в случае Си и Fe. Для вольфрама практически отключаемые токи несколько меньше, что может быть связано с неравномерностью плотности тока термоэмиссии с поверхности катода, которая может существенно увеличить скорости нарастания ионизационных процессов и вызвать повторное зажигание дуги при меньших отключаемых токах.

Автор выражает благодарность Г.С. Белкину, И.А. Лукацкой, В.А. Воздвиженскому за обсуждение результатов работы и высказанные замечания.

Список литературы

  1. Barkan Р., Lafferty J.M., Lee Т.Н. etc. Development of kontakt materials for vacuum interruptes - IEEE, Trans Power Appl. and Syst., 90, 1 (1971).
  2. Reece M.P. The vacuum switch. Pat 2. -Proc. IEEE, 110,4 (1963).
  3. Rich J.A., Farral G.A. Vacuum Arc Recovery Phenomena. - Proc. IEEE, 52, 11 (1964).
  4. Kimblin C.W Dielektrik recovery and shieldkyrrents in vakuum arc interrupters. - IEEE, Trans Power App. and Syst., PAS-90, 3 (1971).

5 . Voshall R.E. Current Interruption Aility of vacuum switches. - IEEE. Trans Power App. and Syst. PAS-91,3(1972).

  1. Hoyaux M.F. The Role of Ambipolar Phenomena in the Mechanism of the Post - Zero Current in Vacuum Circuit Breakers. - Proc. IEEE, 55,12(1967).
  2. Мусин A.K. Распыление вещества электродов и формирование эрозионного газового облака. - Изв. АН СССР, сер. физ., 1971, № 3, т. 35, с. 591 -598.
  3. Плютто А.А., Рыжков В.Н., Капин А.Т. Высокоскоростные потоки плазмы вакуумных дуг.-ЖЭТФ, 1964, №2, т. 47, с. 494-507.
  4. Kimblin С. W. Vacuum Arc Ion Currents and Elektrod Phenomena. - Proc. IEEE, 59,4 (1971).
  5. My сын A.K. Деионизация газоразрядного промежутка. - В кн.: Электронная техника. Сер. 3. «Газоразрядные приборы». 1970, вып. 3, с. 37.
  6. Каминский М. Атомные и ионные столкновения на поверхности металла. М.: Мир, 1967.
  7. Rich J.A., Prescott L.E., Cobine J.D. Anode Phenomena in Metall - Vapor Ares at High Currents. - J. Appl. Phys., 42,2 (1971).
  8. Белкин Г.С., Данилов М.Е. Исследование особенностей электрической эрозии металлокерамических материалов. - Электричество, 1972, № 8, с. 45-48.